Wprowadzenie

Nagrzewnice wodne są podstawowym składnikiem zdecydowanej większości central wentylacyjnych. Dogrzewają powietrze po odzysku ciepła i utrzymują w okresie zimowym a także w okresach przejściowych temperatury przyjazne dla użytkowników w wentylacji komfortu, czy właściwe temperatury procesowe w wentylacji przemysłowej. Ich wydajność zależy nie tylko od temperatury wody grzewczej i strumienia powietrza, ale także od sposobu podłączenia układu hydraulicznego. W artykule przyjrzymy się, dlaczego i o ile współprądowy przepływ wody i powietrza może obniżać efektywność nagrzewnicy.

W wielu źródłach można przeczytać, że spadek ten wyniesie 10 czy 20%, ale nie jest to do końca prawdą, gdyż spadek ten zależy od konkretnych warunków i może wynieść nawet kilkadziesiąt procent!

Przepływ przeciwprądowy i współprądowy

Aby określić, czy mamy do czynienia z przepływem współprądowym, czy przeciwprądowym musimy określić kierunek przepływu powietrza i kierunek przepływu czynnika wewnątrz nagrzewnicy. Oczywiście czynnik wewnątrz nagrzewnicy nie płynie poziomo, ale w większości pionowo, jednak zawsze jeden z króćców nagrzewnicy będzie bliżej strony od której napływa powietrze, podczas gdy drugi z nich będzie dalej. Im większy wymiennik tym poziome oddalenie tych króćców będzie większe. W związku z tym sposób podłączenia nagrzewnicy ma bardzo duże znaczenie, szczególnie w nagrzewnicach niskotemperaturowych, np. w wymiennikach odzysku glikolowego pełniących rolę nagrzewnic wstępnynch w centralach wentylacyjnych z odzyskiem glikolowym.

Schemat układu przeciw i współprądowego

Rozkład temperatur powietrza i wody

W układzie współprądowym woda i powietrze przemieszczają się w tym samym kierunku. Oznacza to, że powietrze najpierw styka się z najcieplejszym odcinkiem wymiennika, a następnie stopniowo z chłodniejszym. W efekcie różnica temperatur między wodą a powietrzem szybko maleje na całej długości wymiennika, co ogranicza ilość przekazywanego ciepła.

W układzie przeciwprądowym woda i powietrze przemieszczają się w przeciwnych kierunkach. Dzięki temu różnica temperatur na całej długości nagrzewnicy pozostaje większa niż w układzie współprądowym, co znacząco zwiększa efektywność wymiany ciepła.

Równanie bilansu cieplnego wymiennika

Nagrzewnica wodna to wymiennik ciepła, w którym ciepło przekazywane jest od wody do powietrza na zasadzie przewodzenia i konwekcji. Ilość ciepła Q przekazywanego do powietrza można opisać równaniem:

Q = U × A × ΔTm

gdzie:

Q – strumień ciepła [W]

U – współczynnik przenikania ciepła [W/(m²·K)],

A – powierzchnia wymiany ciepła [m²],

ΔTm​ – logarytmiczna średnia różnica temperatur (LMTD) [K].

Metoda LMTD – Log Mean Temperature Difference

Metoda średniej logarytmicznej różnicy temperatur LMTD jest jedną z najczęściej stosowanych metod w inżynierii cieplnej do analizy wymiany ciepła w wymiennikach ciepła, takich jak nagrzewnice wodne w centralach wentylacyjnych. Pozwala ona określić efektywność wymiany ciepła w zależności od układu przepływu (przeciwprądowego lub współprądowego).

Jak działa metoda LMTD?

Podczas wymiany ciepła temperatura czynnika grzewczego (np. wody) i powietrza zmienia się na długości wymiennika. Ponieważ różnica temperatur pomiędzy tymi mediami nie jest stała, zastosowanie prostej średniej arytmetycznej byłoby nieprecyzyjne. Dlatego stosuje się średnią logarytmiczną różnicy temperatur, która lepiej oddaje proces wymiany ciepła.

LMTD definiuje się wzorem:

LMTD = (ΔT1 – ΔT2) / ln (ΔT1T2)

gdzie:

ΔT1 – różnica temperatur między czynnikiem grzewczym a powietrzem na jednym końcu wymiennika.

ΔT2 – różnica temperatur na drugim końcu wymiennika.

Metoda LMTD pozwala na dokładne określenie ilości ciepła przekazywanego w wymienniku oraz porównanie efektywności układów współprądowego i przeciwprądowego.

Współprąd a przeciwprąd – porównanie efektywności

Jak powiedzieliśmy wcześniej, w układzie współprądowym zarówno woda, jak i powietrze płyną w tym samym kierunku. W rezultacie powietrze najpierw napotyka najcieplejszą część wymiennika, a następnie przechodzi przez coraz chłodniejsze strefy. Skutkuje to szybkim zmniejszaniem się różnicy temperatur między wodą a powietrzem wzdłuż wymiennika, co ogranicza efektywność wymiany ciepła.

LMTD dla układu współprądowego:

W układzie przeciwprądowym woda i powietrze poruszają się w przeciwnych kierunkach. Taki sposób przepływu utrzymuje większą różnicę temperatur na całej długości nagrzewnicy w porównaniu do układu współprądowego, co znacząco poprawia efektywność wymiany ciepła.

LMTD dla układu przeciwprądowego:

gdzie:

Tw1 – temperatura wody na wejściu do nagrzewnicy [°C]

Tw2 – temperatura wody na wyjściu z nagrzewnicy [°C]

Tp2 – temperatura powietrza na wejściu do nagrzewnicy [°C]

Tp1 – temperatura powietrza na wyjściu z nagrzewnicy [°C]

Porównanie efektywności podłączenia współ- i przeciwprądowego – przykłady

Przyjrzyjmy się 2 przykładom które różnią się parametrami czynnika grzewczego. W pierwszym przykładzie przyjmiemy wysokie parametry czynnika, np. 80/60°C, w drugim niskie parametry, np. 50/30°C.

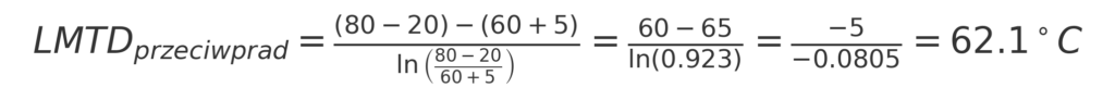
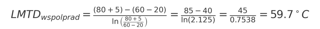
Przykład 1 – wysokie parametry

Przeciwprąd

Współprąd

W tym przypadku wydajność wymiennika spada o 2,4°C, co daje spadek o 3,8% w stosunku do układu przeciwprądowego.

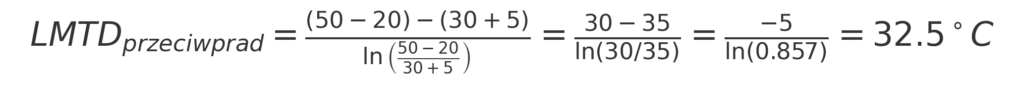
Przykład 2 – niskie parametry

Przeciwprąd

Współprąd

W tym przypadku spadek wydajności nagrzewnicy jest znacznie większy i wynosi 6,1°C, co stanowi spadek aż o 18,8%

Podsumowanie

Należy zwracać uwagę na prawidłowe podłączenie nagrzewnic.

Przepływ przeciwprądowy zapewnia większą efektywność wymiany ciepła, ponieważ różnica temperatur między wodą a powietrzem jest większa na całej długości wymiennika.

Za pomocą metody LMTD (logarytmicznej różnicy temperatur) można dokonać obliczeń pokazujących wartość spadku mocy nagrzewnicy w konkretnych przypadkach.

Błędne podłączenia nagrzewnicy, może skutkować niedogrzaniem powietrza, nieefektywną pracą systemu wentylacyjnego oraz zwiększonym zużyciem energii.T

Tak więc zastosowanie przepływu przeciwprądowego jest kluczowe dla optymalnej pracy nagrzewnicy.